KaliVeda
Toolkit for HIC analysis
Example_KV2Body.C

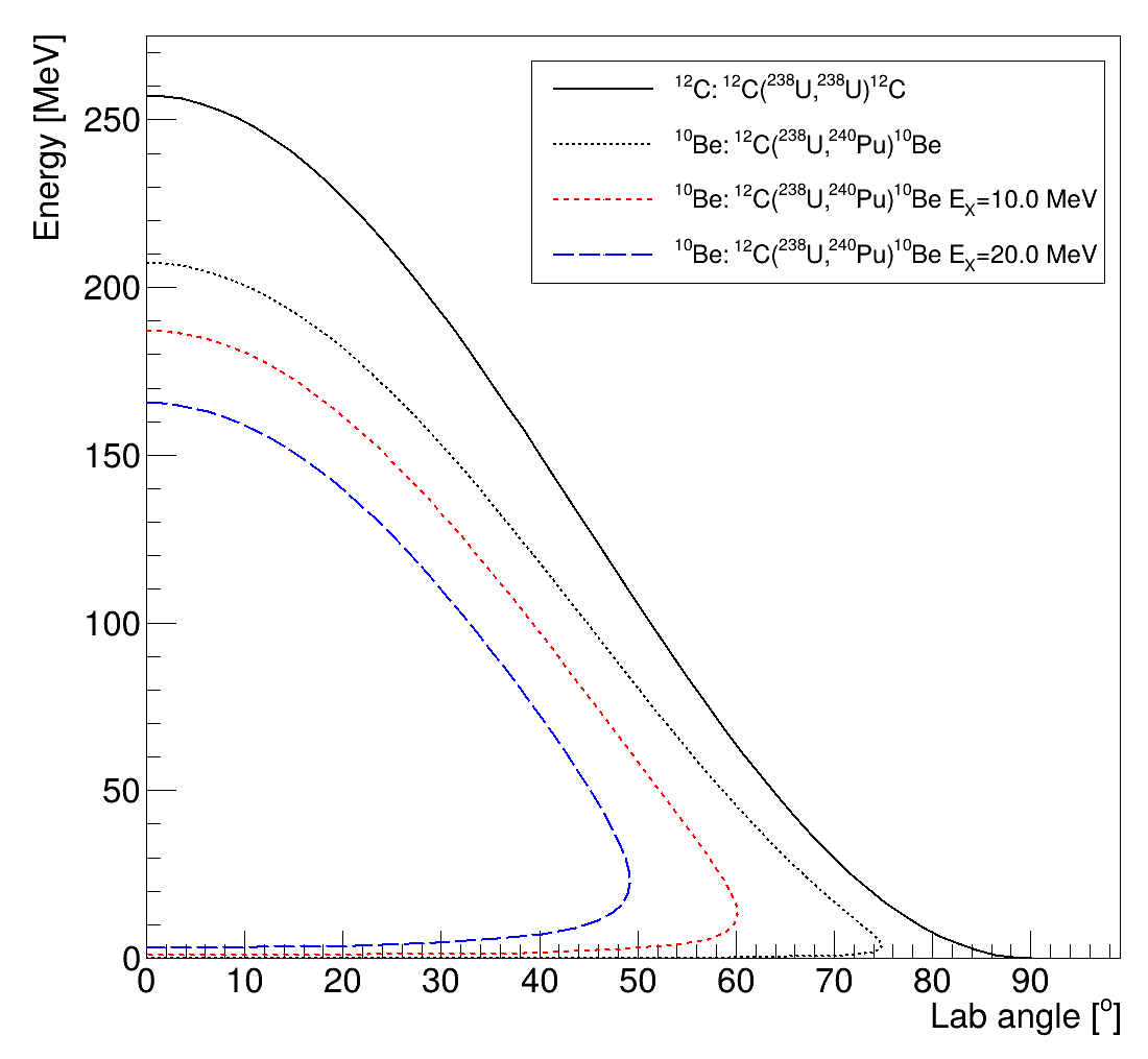
This is an example showing how to use KV2Body in order to draw kinematical correlations \(E-\theta\) for different binary reactions, here concerning the inverse kinematics entrance channel \(^{238}\)U+ \(^{12}\)C at 5.9 MeV/ \(A\).

See method KV2Body::GraphELabVsThetaLab().

Compile and run it like this in the kaliveda CLI:

kaliveda [0] .L Example_KV2Body.C+

The result should look something like this:

#include "TVirtualPad.h"
#include "TH1F.h"
#include "KV2Body.h"
void example()
{
KV2Body kk({"238U", 5.9}, "12C");
auto dg = kk.GetGraphELabVsThetaLab(KV2Body::target_like);
dg.LineWidth(2)->Draw("al");
dg->GetHistogram()->GetXaxis()->SetTitle("Lab angle [^{o}]");
dg->GetHistogram()->GetYaxis()->SetTitle("Energy [MeV]");
dg->GetHistogram()->GetYaxis()->SetRangeUser(0, 275);
kk.SetOutgoing("240Pu");
kk.CalculateKinematics();
kk.GetGraphELabVsThetaLab(KV2Body::target_like).LineWidth(2).LineStyle(2)->Draw("l");
kk.SetEDiss(10);
kk.CalculateKinematics();
kk.GetGraphELabVsThetaLab(KV2Body::target_like).LineWidth(2).LineStyle(7).LineColor(kRed)->Draw("l");
kk.SetEDiss(20);
kk.CalculateKinematics();
kk.GetGraphELabVsThetaLab(KV2Body::target_like).LineWidth(2).LineStyle(9).LineColor(kBlue)->Draw("l");
gPad->BuildLegend();
}
kRed
kBlue
#define gPad
Relativistic binary kinematics calculator.
Definition: KV2Body.h:178
@ target_like
Definition: KV2Body.h:267
void CalculateKinematics()
Definition: KV2Body.cpp:693